时间滚滚向前,中国逐步迈入深度老龄化社会。截至2023年底,中国60周岁及以上老年人口为29697万人,占总人口的21.1%。这一庞大的数字背后,是一个日益凸显的社会现象——
时间滚滚向前,中国逐步迈入深度老龄化社会。截至2023年底,中国60周岁及以上老年人口为29697万人,占总人口的21.1%。这一庞大的数字背后,是一个日益凸显的社会现象——银发社会的崛起。
随着生活水平的提高,银发人群不再仅仅满足于物质的富足,他们对精神生活有着更高的追求,渴望在晚年继续绽放光彩,实现“老有所学”、“老有所乐”、“老有所为”。而应运而生的银发经济,也因此成为了社会关注的焦点。
在当今数字化、智能化飞速发展的时代背景下,新兴事物如雨后春笋般涌现,但这却让银发人群常常陷入迷茫和无助之中。然而,他们内心对生活的热爱从未消退,反而如熊熊烈火般燃烧得更加炽热。他们渴望跟上时代的步伐,在晚年生活中不仅追求物质的充裕,更期盼能获得精神层面的深切关怀与有力支撑。

艾媒咨询的数据犹如一面镜子,清晰地映照出中国养老产业的蓬勃发展态势。2023年中国养老产业市场规模已达12.0万亿元,这一数字犹如一座里程碑,标志着养老产业的重要地位。展望未来,预计到2035年,我国银发经济规模将达到30万亿元左右,占同期GDP比重约为10%。
这一系列数据充分表明,我国银发经济正处在加速发展的黄金阶段,蕴含着巨大的潜力和机遇。
量子之歌敏锐地捕捉到了这一时代脉搏,顺势而为,为构建学习型社会、提高全民素质不断贡献力量,也为银发人群打造了一条全新的丰富学识、社交交友、提升生活品质的路径,点亮银发族的精彩新华年。
夕阳人群的兴趣学习,已成为朝阳产业
量子之歌旗下的千尺学堂专注于银发人群的兴趣学习,其发展历程和理念体现了对这一群体需求的深刻洞察。
量子之歌教育集团CEO秋伊曾表示,进入中老年兴趣学习领域,既是基于公司在成人在线学习方面的丰富经验,也是源于对个人和身边人经历的感性认识。

从业务层面看,量子之歌积累的高效成人在线学习流程为服务中老年群体提供了坚实基础,使其有能力打造出适合中老年用户的产品和服务。
而从感性层面而言,目睹父母退休后的失落感以及社会上“新老人”群体对精神文化生活的强烈渴望,让秋伊意识到这是一个充满潜力且亟待满足需求的市场。
未来十年,每年将有2-3千万“60后”退休,帮助他们更好地享受多姿多彩的夕阳生活,将成为一个巨大的朝阳产业。
千尺学堂在课程设计方面也独具匠心,深刻考虑到了所面向人群的特殊性,从而基于“CTA模型”构建了一套完善的学习体系。
在课程内容(C)上,涵盖了书法、钢琴、八段锦等丰富多样的领域,多维度满足用户多元化的学习需求。
以钢琴课为例,针对中老年人的特点,课研团队借助AI技术分析出适合他们且相对简单的曲子,并致力于在最短时间内教会用户弹奏,让用户快速获得成就感,从而激发持续学习的动力;
在学习工具(T)方面,千尺学堂研发了多个智能学习工具,旨在帮助中老年人更好地应用所学知识,提升学习体验和成果;
同时,AI技术(A)在千尺学堂的教学中也发挥着重要作用,它不仅丰富了用户的互动体验,还打开了更多应用新场景。
量子之歌注重课程内容的持续打磨和更新,课程内容可以做到48小时进行一次迭代,并能根据学员反馈做出针对性调整,从而充分保证教学效果。
更重要的事,千尺学堂的教学模式以“重服务”为显著特点。与其他竞争品牌相比,其突出亮点在于深刻理解中老年人的学习需求不仅仅是知识和技能的获取,更重要的是愉悦身心和社交参与感。
因此,在教学过程中,千尺学堂不仅注重传授专业知识,还为学员提供陪伴服务。通过直播、社群化教学,学员们可以在讲师和同学的陪伴下完成学习,结识新朋友,拓展社交圈子。这种教学模式使得学习成为一种社交活动,极大地丰富了中老年人的生活。
拓展社交空间与情感纽带,丰富银发生活画卷
量子之歌不仅在线上提供优质的课程,还精心组织了各种丰富多彩的线下活动,为银发人群的生活增添了更多的乐趣和色彩。
游学营是其中备受欢迎的项目之一,它带领银发人群走出家门,走进大自然的怀抱,走进历史文化的深处。
在名山大川之间,银发人群可以亲身感受大自然的鬼斧神工,领略山水之美,同时也能在历史古迹中探寻过去的故事,感受文化的传承和魅力。

游园会则是另一个让银发人群欢乐相聚的活动。在充满欢声笑语的游园会中,银发人群可以参与各种趣味游戏、文化表演和手工制作等活动。
他们可以在游戏中找回童年的快乐,在表演中展示自己的才艺,在手工制作中发挥创造力。通过这些活动,银发人群不仅放松了身心,还结交了更多的新朋友,增进了彼此之间的感情。
人类是一种群居生物,拥有丰富的情感和社交需求。近年来,这种需求越来越受到社会科学和医学领域的重视。
美国犹他州杨百翰大学的研究人员在美国学术刊物《公共科学图书馆—医学》(PLoS Medicine)上发布报告表示,其在北美、欧洲、亚洲和澳大利亚开展了一项持续7.5年,涉及约31万人的研究。分析结果显示,拥有良好社会关系的人要比社交活动极少的人平均多活3.7岁。所谓良好的社会关系是指常与朋友往来,经常参加社交活动等。
研究人员认为,良好的社会关系对人身心的积极影响有助减轻精神压力,从而提高身体免疫力。

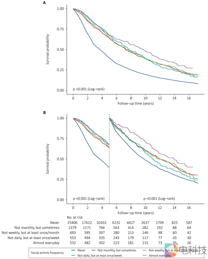
四川大学华西医院何森团队在BMJ子刊上发表的一篇研究论文同样显示,频繁的社交与寿命延长有关,社交生活丰富能让人更加长寿,这一结论与多项研究相契合,进一步强调了社交对于人们健康的重要性。

在该研究中,研究人员分析了中国28563名参与者,平均年龄为89岁。
在最初的5年随访期间,不参加任何社交活动的人死亡率为18.4%,偶尔参加活动的人为8.8%,至少每月一次的人为8.3%,至少每周一次的人为7.5%,几乎每天都参与活动的人为7.3%。
和从不参与社交活动的人相比较,偶尔进行社交的人死亡时间推迟了42%,每月至少社交一次的人推迟了48%,每周至少社交一次的人推迟了110%,几乎每日都社交的人推迟了204%。
这充分说明,丰富多彩的社交活动对于银发人群的提升不仅是生活品质,更是直接影响到寿命。

因此,量子之歌旗下的千尺学堂始终注重线上与线下活动的平衡。线下活动如游学营、游园会和进社区活动等,不仅增强了用户的沉浸式体验和获得感,也为学员们增加社交活动、拓展人际圈子提供了便利,对提升学习效果和生活质量产生了积极影响。
千尺学堂以其创新的学习模式和对中老年群体需求的精准把握,在中老年兴趣学习领域展现出强大的生命力和广阔的发展前景。它不仅为中老年群体提供了学习知识和技能的平台,更重要的是,通过学习和社交的融合,为他们创造了一个充满活力和温暖的精神家园,让每一位中老年人都能在这个平台上找到属于自己的精彩,开启人生的新篇章,进一步彰显了量子之歌在银发经济中的服务底色。
在市场竞争中崛起,以成绩与荣誉见证实力
在竞争激烈的市场环境中,量子之歌凭借其卓越的品质和优质的服务,赢得了广大用户的高度青睐和信任。其市场份额不断扩大,犹如一棵茁壮成长的大树,枝繁叶茂,展现出强大的生命力和竞争力。
根据弗若斯特沙利文(frost.sullivan)发布的《中国成人学习市场行业报告》,以2022年总收入计算,量子之歌在中国成人个人兴趣学习市场中排名第一,同时也成为中国最大的在线个人成人学习服务提供商。

2023年,量子之歌正式登录纳斯达克,股票代码NASDAQ:QSG;截至2024年6月30日,量子之歌注册用户总数达到1.276亿;2024财年全年总营收达38.0亿元,同比增长23.2%,经调整净利润同比增410.2%,达4.2亿元,利润增速高于营收增速。
10月1日,量子之歌宣布,基于对业绩增长及财务状况的长期信心,其董事会批准并宣布将进行上市后首次特别现金派息。在派息政策公布后,量子之歌股价上涨,最高上涨150+%,市值已翻倍。

量子之歌不仅在市场上取得了显著的成绩,还荣获了“互联网最具成长上市公司”、“可持续发展典范企业”等一系列荣誉,体现了外界对于其在经济、社会等方面能力和责任担当的认可。
此外,量子之歌对于银发人群的关注、对于银发经济的发挥在那还受到了央视、新华社等权威媒体的广泛报道和赞誉,这些荣誉不仅是对量子之歌社会贡献的高度肯定,更是其品牌价值的有力体现。
结论
量子之歌就像一束温暖而明亮的光,为银发人群带来了希望和光明。在这个充满活力和创新的平台上,银发人群能够紧跟互联网时代的步伐,不断学习新知识,掌握新技能,拓宽自己的视野和社交圈子。他们不再是时代的旁观者,而是积极的参与者和创造者。
评论区(0)